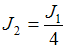
На пути естественного света помещены две пластинки турмалина. После прохождения пластинки 1 свет полностью поляризован. Если
и
– интенсивности света, прошедшего пластинки 1 и 2 соответственно, и угол между направлениями оптических осей OO и O’O’
, то
и
связаны соотношением …
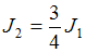
и
– интенсивности света, прошедшего пластинки 1 и 2 соответственно, и угол между направлениями оптических осей OO и O’O’
, то
и
связаны соотношением …
•
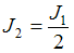
В выражение закона Малюса
входит квадрат косинуса угла
,
, а по условию задачи угол между направлениями оптических осей OO и O’O’ пластин турмалина
.
•
только тогда, когда оптические оси пластин турмалина параллельны, то есть
. По условию задания
.
•
Напряженность электрической составляющей световой волны, прошедшей через вторую пластинку турмалина,
, а интенсивность пропорциональна квадрату амплитуды световых колебаний:
. Таким образом, интенсивность
пропорциональна квадрату косинуса угла
.
• 
