Тело массой m движется со скоростью v и ударяется о неподвижное тело такой же массы. Удар центральный и неупругий. Количество тепла, выделившееся при ударе, равно …
•
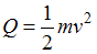
Вы не учли закон сохранения импульса. Поскольку суммарный импульс системы тел должен сохраняться, то часть энергии первого тела перейдет в кинетическую энергию тел после удара.
•
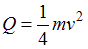
Нарушается закон сохранения энергии: тепла выделилось больше, чем была начальная энергия тел. Используйте закон сохранения импульса и закон сохранения и изменения механической энергии.
• 

•
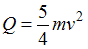
Нарушается закон сохранения энергии: тепла выделилось больше, чем была начальная энергия тел. Используйте закон сохранения импульса и закон сохранения и изменения механической энергии.