Электрическое поле создано двумя точечными зарядами:
,
. Напряженность и потенциал в точке А равны…
,
. Напряженность и потенциал в точке А равны…
•
, 
, 
•
,
,
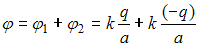
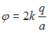
Потенциал результирующего поля в точке А равен алгебраической сумме потенциалов полей, создаваемых в этой точке каждым зарядом в отдельности:
.
•
,
,
Напряженность результирующего поля в точке А равна векторной сумме напряженностей полей, создаваемых в этой точке каждым зарядом:
; потенциал результирующего поля в точке А равен алгебраической сумме:
.
•
,
,
Напряженность результирующего поля в точке А равна векторной сумме напряженностей полей, создаваемых в этой точке каждым зарядом:
.