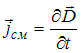
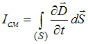
Одно из уравнений Максвелла представляет собой обобщение закона полного тока для поля в веществе и математически может быть выражено уравнениями …
• 
• 
• 
• 
Предмет: Физика