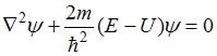
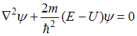
Стационарное уравнение Шредингера имеет вид Изображение вопроса Стационарное уравнение Шредингера имеет вид . Это .... Это уравнение записано для …
• электрона в атоме водорода

Стационарное уравнение Шредингера в общем случае имеет вид , где U – потенциальная энергия микрочастицы. Потенциальная энергия электрона в атоме водорода , где  – заряд ядра,  – заряд электрона,  – радиус орбиты электрона. Для атома водорода . Таким образом, приведенное уравнение не может быть уравнением Шредингера для электрона в атоме водорода.

• частицы в трехмерном потенциальном ящике с бесконечно высокими стенками

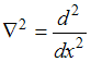
Стационарное уравнение Шредингера в общем случае имеет вид , где U – потенциальная энергия микрочастицы. Действительно, потенциальная энергия частицы в потенциальном ящике с бесконечно высокими стенками равна нулю. Однако данное уравнение справедливо для одномерной задачи, т.к. только в этом случае .

• линейного гармонического осциллятора

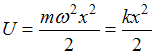
Стационарное уравнение Шредингера в общем случае имеет вид , где U – потенциальная энергия микрочастицы. Линейным гармоническим осциллятором называется частица с массой m, которая движется вдоль некоторой оси под действием квазиупругой силы, пропорциональной отклонению x частицы от положения равновесия. Потенциальная энергия линейного гармонического осциллятора , т.е. отлична от нуля. Таким образом, приведенное уравнение не может быть уравнением Шредингера для линейного гармонического осциллятора

• частицы в одномерном потенциальном ящике с бесконечно высокими стенками
Предмет: Физика