Показатель преломления среды  Изображение вопроса Показатель преломления среды  , с точки зрения вол..., с точки зрения волновой теории света, равен …
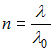
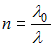
•  , где длина волны в вакууме, длина волны в среде

Вы ошиблись: , где длина волны в вакууме, длина волны в среде. Но это равенство нельзя принимать за определение показателя преломления. Оно является следствием определения показателя преломления через отношение скоростей распространения, а скорость распространения волны связана с длиной волны и ее частотой.

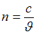
• , где  – скорость света в вакууме, скорость света в среде
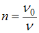
• , где   – угол падения, соответствующий полной поляризации отраженного луча

Формула верна и может использоваться для экспериментального нахождения показателя преломления непрозрачных сред, но это равенство нельзя принимать за определение показателя преломления. Оно является следствием не только закона преломления, но и свойства поперечности световых волн.

• , где  частота волны в вакууме, частота волны в среде

Частота волны в среде не должна меняться, поскольку частицы среды совершают под действием поля проходящей волны вынужденные колебания такой же частоты, что и в первичной волне. Поэтому отношение частот не может являться характеристикой преломляющих свойств среды.

Предмет: Физика