Идеальная тепловая машина работает по циклу Карно (две изотермы 1-2, 3-4 и две адиабаты 2-3, 4-1).

В процессе изотермического расширения 1-2 энтропия рабочего тела …

В процессе изотермического расширения 1-2 энтропия рабочего тела …
• не изменяется
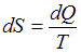
Изменение энтропии равно
. При изотермическом расширении газ получает тепло. Вы рассматриваете адиабатные процессы 2-3 или 4-1, для которых
.
• возрастает
• уменьшается
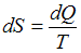
Изменение энтропии равно
. При изотермическом расширении газ получает тепло, значит,
. Вы рассматриваете процесс 3-4 изотермического сжатия, где газ отдает тепло холодильнику и
.
• сначала возрастает, затем уменьшается
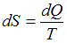
Изменение энтропии равно
. При изотермическом расширении газ получает тепло, значит,
.