На рисунке показан график зависимости потенциальной энергии
от координаты
.

График зависимости проекции силы
от координаты
имеет вид …
от координаты
.
График зависимости проекции силы
от координаты
имеет вид … •
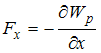
Потенциальная энергия по условию задачи квадратично зависит от координаты
; а проекция вектора силы
на ось Х, связанная с потенциальной энергией соотношением
и равная
, также зависит от координаты
, но линейно.
• 

•
Если потенциальная энергия поля
в зависимости от координаты
растет, то проекция силы
убывает.
•
Потенциальная энергия по условию задачи квадратично зависит от координаты
; а проекция вектора силы
на ось Х, связанная с потенциальной энергией соотношением
и равная
, также зависит от координаты
, но линейно.