Взаимодействие
-мезона с протоном в водородной пузырьковой камере идет по схеме


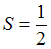
Если спин ламбда-гиперона
равен
, то характеристиками
-мезона будут …
-мезона с протоном в водородной пузырьковой камере идет по схеме

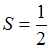
Если спин ламбда-гиперона
равен
, то характеристиками
-мезона будут …•
; 
; 
•
; 
; 
•
; 
; 
•
; 
; 