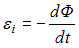
На рисунке дана квадратичная зависимость от времени магнитного потока, пронизывающего проводящий контур. При этом зависимости модуля ЭДС индукции, возникающей в контуре, от времени соответствует график…
•
Согласно закону Фарадея для электромагнитной индукции
, т.е. ЭДС индукции пропорциональна производной от магнитного потока по времени. Найдите производную от квадратичной функции.
• 

•
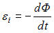
Согласно закону Фарадея для электромагнитной индукции
, т.е. ЭДС индукции пропорциональна производной от магнитного потока по времени. Найдите производную от квадратичной функции.
•
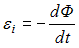
Согласно закону Фарадея для электромагнитной индукции
, т.е. ЭДС индукции пропорциональна производной от магнитного потока по времени. Найдите производную от квадратичной функции.