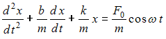
К спиральной пружине жесткостью
, расположенной горизонтально, прикрепили груз массы
и поместили всю систему в вязкую среду с коэффициентом сопротивления
. Если тело сместить из положения равновесия и отпустить, то закон его движения имеет вид …
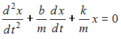
, расположенной горизонтально, прикрепили груз массы
и поместили всю систему в вязкую среду с коэффициентом сопротивления
. Если тело сместить из положения равновесия и отпустить, то закон его движения имеет вид …• 

• 

• 

• 
