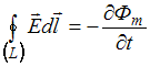
Следующее утверждение «Никаких источников магнитного поля, подобных электрическим зарядам (по аналогии их называют магнитными зарядами) в природе не существует» – является следствием уравнения …
• 
• 
• 
• 
Тема: Уравнения Максвелла
Предмет: Физика