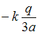
Электростатическое поле создано двумя точечными зарядами: Изображение вопроса Электростатическое поле создано двумя точечными за... и Изображение вопроса Электростатическое поле создано двумя точечными за....
Потенциал результирующего поля в точке А равен …
Изображение вопроса Электростатическое поле создано двумя точечными за...
• 
• 
• 
• 
Тема: Электростатическое поле в вакууме
Предмет: Физика