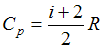
Молярная теплоемкость идеального газа при постоянном давлении равна Изображение вопроса Молярная теплоемкость идеального газа при постоянн... где Изображение вопроса Молярная теплоемкость идеального газа при постоянн... – универсальная газовая постоянная. Число вращательных степеней свободы молекулы равно …
• 9

Молярная теплоемкость при постоянном давлении равна , где   .

• 1

Число вращательных степеней свободы молекулы может быть равно  для двух- и многоатомных линейных молекул и  для трех- и многоатомных нелинейных молекул.

• 3

Число колебательных степеней свободы удваивается, так как молекула обладает одновременно кинетической и потенциальной энергиями колебательного движения. Минимальное число степеней свободы колебательного движения равно 1, значит, .

• 2
Предмет: Физика