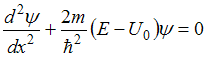
Стационарное уравнение Шредингера в общем случае имеет вид
. Здесь
потенциальная энергия микрочастицы. Электрону в одномерном потенциальном ящике с бесконечно высокими стенками соответствует уравнение …
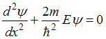
. Здесь
потенциальная энергия микрочастицы. Электрону в одномерном потенциальном ящике с бесконечно высокими стенками соответствует уравнение …• 

• 

• 

• 
