Установите соответствие между квантовомеханическими задачами и уравнениями Шредингера для них.
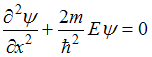
1. Электрон в одномерном потенциальном ящике с бесконечно высокими стенками
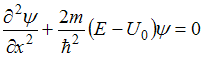
2. Линейный гармонический осциллятор
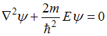
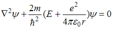
3. Электрон в атоме водорода
1. Электрон в одномерном потенциальном ящике с бесконечно высокими стенками
2. Линейный гармонический осциллятор
3. Электрон в атоме водорода
• 

• 

• 

• 

• 
