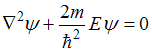
Нестационарным уравнением Шредингера является уравнение …
• 
• 
• 
• 
Тема: Уравнения Шредингера (общие свойства)
Предмет: Физика