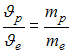
Протон и электрон ускоряются электростатическим полем, пройдя одинаковую разность потенциалов. При этом отношение скоростей Изображение вопроса Протон и электрон ускоряются электростатическим по... будет равно…
• 
• 
• 
• 
Тема: Работа по перемещению заряда в электростатическом поле
Предмет: Физика