На рисунке показана зависимость силы тока в электрической цепи от времени.

Заряд, прошедший по проводнику в интервале времени от 0 до 10
, равен …

Заряд, прошедший по проводнику в интервале времени от 0 до 10
, равен … • 400 мКл
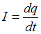
Из определения силы тока
следует, что
. С учетом этого заряд, прошедший по проводнику за определенный промежуток времени, можно найти, вычислив площадь под графиком функции зависимости силы тока от времени.
• 150 мКл
Из определения силы тока
следует, что
. С учетом этого заряд, прошедший по проводнику за определенный промежуток времени, можно найти, вычислив площадь под графиком функции зависимости силы тока от времени.
• 300 мКл
Из определения силы тока
следует, что
. С учетом этого заряд, прошедший по проводнику за определенный промежуток времени, можно найти, вычислив площадь под графиком функции зависимости силы тока от времени.
• 200 мКл