Профиль бегущей поперечной волны с периодом колебаний 10 мс представлен на рисунке. Скорость распространения волны равна …
•
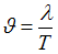
Допущена ошибка в формуле для определения скорости распространения волны. Скорость волны определяется по формуле
, где
длина волны,
период колебаний. Также неправильно определена длина волны. Длина волны – это расстояние, на которое волна перемещается за время, равное периоду, т.е. величина смещения частиц среды Y будет равна первоначальному значению.
•
Допущена ошибка в формуле для определения скорости распространения волны. Скорость волны определяется по формуле
, где
длина волны,
период колебаний.
• 

•
Неправильно определена длина волны. Длина волны – это расстояние, на которое волна перемещается за время, равное периоду, т.е. величина смещения частиц среды Y будет равна первоначальному значению.