Уравнение плоской синусоидальной волны, распространяющейся вдоль оси OХ, имеет вид
. Длина волны равна…
. Длина волны равна… •
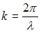
Длина волны определяется по волновому числу, которое входит в выражение фазы волны коэффициентом при координате. Использована неверная формула, связывающая длину волны с волновым числом. Волновое число равно
.
• 

•
Напоминаем, что уравнение плоской синусоидальной волны имеет вид
, где
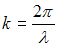
волновое число, связанное с длиной волны.
•
Волновое число равно
. Ошибка, скорее всего, в арифметических расчетах.