Частица находится в потенциальном ящике шириной Изображение вопроса Частица находится в потенциальном ящике шириной  с... с бесконечно высокими стенками в определенном энергетическом состоянии Изображение вопроса Частица находится в потенциальном ящике шириной  с... с квантовым числом Изображение вопроса Частица находится в потенциальном ящике шириной  с.... Известно, что Изображение вопроса Частица находится в потенциальном ящике шириной  с.... В этом случае Изображение вопроса Частица находится в потенциальном ящике шириной  с... равно …
• 4

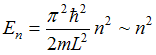
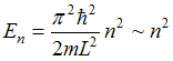
Собственная энергия  микрочастицы в потенциальном ящике шириной с бесконечно высокими стенками принимает лишь определенные дискретные значения, причем , где  целое число, имеющее смысл номера уровня энергии. С помощью этого соотношения и данных задачи найдите .

• 2

Собственная энергия  микрочастицы в потенциальном ящике шириной с бесконечно высокими стенками принимает лишь определенные дискретные значения, причем , где  целое число, имеющее смысл номера уровня энергии. С помощью этого соотношения и данных задачи найдите .

• 5

Собственная энергия  микрочастицы в потенциальном ящике шириной с бесконечно высокими стенками принимает лишь определенные дискретные значения, причем , где  целое число, имеющее смысл номера уровня энергии. С помощью этого соотношения и данных задачи найдите .

• 3
Предмет: Физика