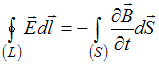
Утверждение «В любой точке пространства изменяющееся со временем магнитное поле порождает вихревое электрическое поле» раскрывает физический смысл уравнения …
• 
• 
•  0
• 
Тема: Уравнения Максвелла
Предмет: Физика