Если в электромагнитной волне, распространяющейся вдоль оси ОХ, компоненты векторов напряженностей электрического и магнитного полей изменяются по закону
, то круговая частота равна …
, то круговая частота равна … •
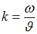
Волновое число связано с круговой частотой и скоростью распространения волны
. Также следует учесть, что скорость распространения электромагнитной волны равна скорости света.
• 

•
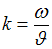
Волновое число связано с круговой частотой и скоростью распространения волны
. Также следует учесть, что скорость распространения электромагнитной волны равна скорости света.
•
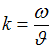
Волновое число связано с круговой частотой и скоростью распространения волны
. Также следует учесть, что скорость распространения электромагнитной волны равна скорости света.