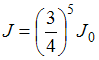
Естественный свет падает на систему из 5 последовательно расположенных поляроидов, причем плоскость пропускания каждого последующего поляроида образует угол 30° с плоскостью пропускания предыдущего. Если поглощением света в поляроидах можно пренебречь, то интенсивность
света на выходе из системы связана с интенсивностью
света на входе соотношением …
света на выходе из системы связана с интенсивностью
света на входе соотношением …• 

• 

• 

• 
