
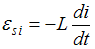
Изменение возникающей в катушке ЭДС самоиндукции
от времени правильно изображено на рисунке …
ЭДС самоиндукции прямо пропорциональна скорости изменения силы тока i в контуре:
, где L – индуктивность контура. Обратите внимание на то, что в промежутке времени г – д
>0, следовательно,
<0.

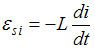
ЭДС самоиндукции прямо пропорциональна скорости изменения силы тока i в контуре:
, где L – индуктивность контура. Обратите внимание на то, что в промежутке времени а – в производная силы тока по времени
одинакова как по величине, так и по знаку.
ЭДС самоиндукции прямо пропорциональна скорости изменения силы тока i в контуре:
, где L – индуктивность контура. Обратите внимание на то, что в промежутке времени а – в производная силы тока по времени
одинакова как по величине, так и по знаку. Кроме того, в промежутке времени г – д
>0, следовательно,
<0.