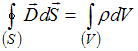
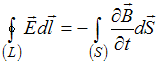
Утверждение «Переменное электрическое поле, наряду с электрическим током, является источником магнитного поля» раскрывает физический смысл уравнения …
•  0.
• 
• 
• 
Тема: Уравнения Максвелла
Предмет: Физика