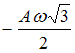
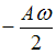
Плоская звуковая волна
распространяется в упругой среде. Скорость колебания частиц среды, отстоящих от источника на расстоянии
, в момент времени
равна …
распространяется в упругой среде. Скорость колебания частиц среды, отстоящих от источника на расстоянии
, в момент времени
равна …• 

• 

• 

• 
