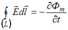
Утверждение «Никаких источников магнитного поля, подобных электрическим зарядам (по аналогии их называют магнитными зарядами), в природе не существует» является следствием уравнения …
• 
•  0
• 
• 
Тема: Уравнения Максвелла
Предмет: Физика