Электротехника и электроника – страница 58
Преобразователь, который служит для измерения деформации в различных конструкциях, называется …
Класс исполнения машин и электрооборудования, которые требуют обязательного заземления открытых проводящих частей, называется …
Тип торможения двигателя, который получил широкое распространение в электрокарах, называется …
7 Кейс-задания: Кейс 1 подзадача 1

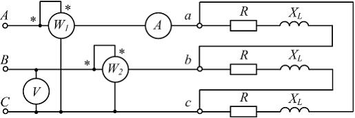
К трехпроводной трехфазной сети подключен электродвигатель, фазы которого соединены треугольником. Приборы в схеме показали:

Полное сопротивление
фазы двигателя равно ____ Ом.

К трехпроводной трехфазной сети подключен электродвигатель, фазы которого соединены треугольником. Приборы в схеме показали:

Полное сопротивление
фазы двигателя равно ____ Ом.8 Кейс-задания: Кейс 1 подзадача 2

К трехпроводной трехфазной сети подключен электродвигатель, фазы которого соединены треугольником. Приборы в схеме показали:

Для цепи, схема которой изображена на рисунке, верными являются утверждения …

К трехпроводной трехфазной сети подключен электродвигатель, фазы которого соединены треугольником. Приборы в схеме показали:

Для цепи, схема которой изображена на рисунке, верными являются утверждения …
9 Кейс-задания: Кейс 1 подзадача 3

К трехпроводной трехфазной сети подключен электродвигатель, фазы которого соединены треугольником. Приборы в схеме показали:

Активное сопротивление R фазы двигателя равно _____ Ом.
(Результат вычислений округлить до целого числа.)

К трехпроводной трехфазной сети подключен электродвигатель, фазы которого соединены треугольником. Приборы в схеме показали:

Активное сопротивление R фазы двигателя равно _____ Ом.
(Результат вычислений округлить до целого числа.)
10 Кейс-задания: Кейс 2 подзадача 1

Для определения параметров R и L индуктивной катушки ее соединили последовательно с резистором сопротивлением
и подключили через лабораторный автотрансформатор (ЛАТР) к сети переменного тока напряжением 220 В и частотой 50 Гц. При помощи вольтметра произвели измерение напряжений на зажимах ЛАТРа, резистора и катушки.
Активное сопротивление R катушки …

Для определения параметров R и L индуктивной катушки ее соединили последовательно с резистором сопротивлением
и подключили через лабораторный автотрансформатор (ЛАТР) к сети переменного тока напряжением 220 В и частотой 50 Гц. При помощи вольтметра произвели измерение напряжений на зажимах ЛАТРа, резистора и катушки.Активное сопротивление R катушки …
11 Кейс-задания: Кейс 2 подзадача 2

Для определения параметров R и L индуктивной катушки ее соединили последовательно с резистором сопротивлением
и подключили через лабораторный автотрансформатор (ЛАТР) к сети переменного тока напряжением 220 В и частотой 50 Гц. При помощи вольтметра произвели измерение напряжений на зажимах ЛАТРа, резистора и катушки.
Угол сдвига фаз
между током и напряжением катушки увеличится, если увеличить …

Для определения параметров R и L индуктивной катушки ее соединили последовательно с резистором сопротивлением
и подключили через лабораторный автотрансформатор (ЛАТР) к сети переменного тока напряжением 220 В и частотой 50 Гц. При помощи вольтметра произвели измерение напряжений на зажимах ЛАТРа, резистора и катушки.Угол сдвига фаз
между током и напряжением катушки увеличится, если увеличить …12 Кейс-задания: Кейс 2 подзадача 3

Для определения параметров R и L индуктивной катушки ее соединили последовательно с резистором сопротивлением
и подключили через лабораторный автотрансформатор (ЛАТР) к сети переменного тока напряжением 220 В и частотой 50 Гц. При помощи вольтметра произвели измерение напряжений на зажимах ЛАТРа, резистора и катушки.
Если в цепи, схема которой приведена на рисунке,
то угол сдвига фаз
между током и напряжением катушки равен ____ градусов.
(Результат вычислений округлить до целого числа. Решение целесообразно начать с построения векторной диаграммы.)

Для определения параметров R и L индуктивной катушки ее соединили последовательно с резистором сопротивлением
и подключили через лабораторный автотрансформатор (ЛАТР) к сети переменного тока напряжением 220 В и частотой 50 Гц. При помощи вольтметра произвели измерение напряжений на зажимах ЛАТРа, резистора и катушки.Если в цепи, схема которой приведена на рисунке,
то угол сдвига фаз
между током и напряжением катушки равен ____ градусов.(Результат вычислений округлить до целого числа. Решение целесообразно начать с построения векторной диаграммы.)
13 Кейс-задания: Кейс 1 подзадача 1

К трехпроводной трехфазной сети подключен электродвигатель, фазы которого соединены звездой. Приборы в схеме показали:

Полная мощность S трехфазной цепи равна _____ кВА.

К трехпроводной трехфазной сети подключен электродвигатель, фазы которого соединены звездой. Приборы в схеме показали:

Полная мощность S трехфазной цепи равна _____ кВА.
14 Кейс-задания: Кейс 1 подзадача 2

К трехпроводной трехфазной сети подключен электродвигатель, фазы которого соединены звездой. Приборы в схеме показали:

Для цепи, схема которой изображена на рисунке, верными являются утверждения …

К трехпроводной трехфазной сети подключен электродвигатель, фазы которого соединены звездой. Приборы в схеме показали:

Для цепи, схема которой изображена на рисунке, верными являются утверждения …
15 Кейс-задания: Кейс 1 подзадача 3

К трехпроводной трехфазной сети подключен электродвигатель, фазы которого соединены звездой. Приборы в схеме показали:

Индуктивное сопротивление
фазы двигателя равно ____ Ом.
(Результат вычислений округлить до целого числа.)

К трехпроводной трехфазной сети подключен электродвигатель, фазы которого соединены звездой. Приборы в схеме показали:

Индуктивное сопротивление
фазы двигателя равно ____ Ом.(Результат вычислений округлить до целого числа.)
16 Кейс-задания: Кейс 1 подзадача 1

К трехпроводной трехфазной сети подключен электродвигатель, фазы которого соединены звездой. Приборы в схеме показали:

Полное сопротивление
фазы двигателя равно ____ Ом.

К трехпроводной трехфазной сети подключен электродвигатель, фазы которого соединены звездой. Приборы в схеме показали:

Полное сопротивление
фазы двигателя равно ____ Ом.17 Кейс-задания: Кейс 1 подзадача 3

К трехпроводной трехфазной сети подключен электродвигатель, фазы которого соединены звездой. Приборы в схеме показали:

Активное сопротивление R фазы двигателя равно ____ Ом.
(Результат вычислений округлить до целого числа.)

К трехпроводной трехфазной сети подключен электродвигатель, фазы которого соединены звездой. Приборы в схеме показали:

Активное сопротивление R фазы двигателя равно ____ Ом.
(Результат вычислений округлить до целого числа.)
18 Кейс-задания: Кейс 2 подзадача 1

Для определения параметров R и L индуктивной катушки ее соединили последовательно с резистором сопротивлением
и подключили через лабораторный автотрансформатор (ЛАТР) к сети переменного тока напряжением 220 В и частотой 50 Гц. При помощи вольтметра произвели измерение напряжений на зажимах ЛАТРа, резистора и катушки.
Индуктивное сопротивление XL катушки …

Для определения параметров R и L индуктивной катушки ее соединили последовательно с резистором сопротивлением
и подключили через лабораторный автотрансформатор (ЛАТР) к сети переменного тока напряжением 220 В и частотой 50 Гц. При помощи вольтметра произвели измерение напряжений на зажимах ЛАТРа, резистора и катушки.Индуктивное сопротивление XL катушки …
19 Кейс-задания: Кейс 2 подзадача 2

Для определения параметров R и L индуктивной катушки ее соединили последовательно с резистором сопротивлением
и подключили через лабораторный автотрансформатор (ЛАТР) к сети переменного тока напряжением 220 В и частотой 50 Гц. При помощи вольтметра произвели измерение напряжений на зажимах ЛАТРа, резистора и катушки.
Угол сдвига фаз
между током и напряжением катушки зависит от …

Для определения параметров R и L индуктивной катушки ее соединили последовательно с резистором сопротивлением
и подключили через лабораторный автотрансформатор (ЛАТР) к сети переменного тока напряжением 220 В и частотой 50 Гц. При помощи вольтметра произвели измерение напряжений на зажимах ЛАТРа, резистора и катушки.Угол сдвига фаз
между током и напряжением катушки зависит от …20 Кейс-задания: Кейс 2 подзадача 3

Для определения параметров R и L индуктивной катушки ее соединили последовательно с резистором сопротивлением
и подключили через лабораторный автотрансформатор (ЛАТР) к сети переменного тока напряжением 220 В и частотой 50 Гц. При помощи вольтметра произвели измерение напряжений на зажимах ЛАТРа, резистора и катушки.
Если в цепи, схема которой приведена на рисунке,
то индуктивное сопротивление
катушки равно ____ Ом.
(Решение целесообразно начать с построения векторной диаграммы.)

Для определения параметров R и L индуктивной катушки ее соединили последовательно с резистором сопротивлением
и подключили через лабораторный автотрансформатор (ЛАТР) к сети переменного тока напряжением 220 В и частотой 50 Гц. При помощи вольтметра произвели измерение напряжений на зажимах ЛАТРа, резистора и катушки.Если в цепи, схема которой приведена на рисунке,
то индуктивное сопротивление
катушки равно ____ Ом.(Решение целесообразно начать с построения векторной диаграммы.)
21 Кейс-задания: Кейс 2 подзадача 3

Для определения параметров R и L индуктивной катушки ее соединили последовательно с резистором сопротивлением
и подключили через лабораторный автотрансформатор (ЛАТР) к сети переменного тока напряжением 220 В и частотой 50 Гц. При помощи вольтметра произвели измерение напряжений на зажимах ЛАТРа, резистора и катушки.
Если в цепи, схема которой приведена на рисунке,
то активное сопротивление R катушки равно ____ Ом.
(Решение целесообразно начать с построения векторной диаграммы.)

Для определения параметров R и L индуктивной катушки ее соединили последовательно с резистором сопротивлением
и подключили через лабораторный автотрансформатор (ЛАТР) к сети переменного тока напряжением 220 В и частотой 50 Гц. При помощи вольтметра произвели измерение напряжений на зажимах ЛАТРа, резистора и катушки.Если в цепи, схема которой приведена на рисунке,
то активное сопротивление R катушки равно ____ Ом.(Решение целесообразно начать с построения векторной диаграммы.)