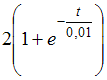
Изображение вопроса При  в цепи с параметрами  после замыкания ключа К...
При Изображение вопроса При  в цепи с параметрами  после замыкания ключа К... в цепи с параметрами Изображение вопроса При  в цепи с параметрами  после замыкания ключа К... после замыкания ключа К ток Изображение вопроса При  в цепи с параметрами  после замыкания ключа К... равен _____ А.
• 
• 
• 
• 
Тема: Переходные процессы в цепях постоянного тока с одним накопителем энергии
Предмет: Электротехника и электроника