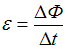
Формула, выражающая закон электромагнитной индукции, имеет вид …
• 
• 
• 
• 
Тема: Электромагнетизм
Предмет: Электротехника и электроника