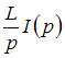
При нулевых начальных условиях напряжению на индуктивном элементе соответствует операторное изображение Изображение вопроса При нулевых начальных условиях напряжению на индук...
• 
• 
• 
• 
Тема: Операторный метод расчета
Предмет: Электротехника и электроника