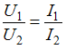
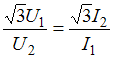
Соотношение между первичными и вторичными напряжениями и токами в трансформаторе соответствуют формуле …
• 
• 
• 
• 
Тема: Трансформаторы
Предмет: Электротехника и электроника