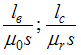
Изображение вопроса В изображенной магнитной цепи магнитное сопротивле...
В изображенной магнитной цепи магнитное сопротивление воздушного зазора Изображение вопроса В изображенной магнитной цепи магнитное сопротивле... магнитное сопротивление ферромагнитного участка Изображение вопроса В изображенной магнитной цепи магнитное сопротивле...
• 
• 
• 
• 
Тема: Магнитные цепи с постоянными магнитными потоками
Предмет: Электротехника и электроника