
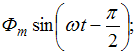
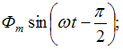
В идеализированной индуктивной катушке (не учитывается поле рассеяния и активное сопротивление обмотки) с ферромагнитным магнитопроводом при
магнитный поток
ток i в катушке _____________.•
синусоидальный
синусоидальный•
синусоидальный
синусоидальный•
несинусоидальный
несинусоидальный•
несинусоидальный
несинусоидальный