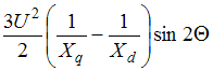
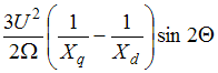
Электромагнитный момент неявнополюсного трехфазного синхронного двигателя М равен ____ Н/м.
• 
• 
• 
• 
Тема: Синхронные машины
Предмет: Электротехника и электроника