
На рисунке изображена электромагнитная схема идеализированного трансформатора. Неверно, что при синусоидальном напряжении
…• уравнения электрического состояния обмоток имеют вид:


• магнитный поток Ф в сердечнике трансформатора не синусоидальный
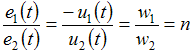
• отношение напряжений и ЭДС 

• действующие значения напряжений связаны отношением 
