Изображение вопроса После размыкания ключа характеристическое уравнени...
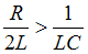
После размыкания ключа характеристическое уравнение цепи имеет различные по значению вещественные корни при условии …
• 
• 
• 
• 
Тема: Переходные процессы в цепях с двумя накопителями энергии
Предмет: Электротехника и электроника