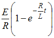
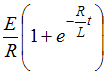
Операторному изображению тока Изображение вопроса Операторному изображению тока  соответствует функц... соответствует функция времени Изображение вопроса Операторному изображению тока  соответствует функц...
• 
• 
• 
• 
Тема: Операторный метод расчета
Предмет: Электротехника и электроника