
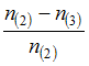
На рисунке изображена механическая характеристика асинхронного двигателя. Критическое скольжение
где
– значения частоты вращения ротора в точках 2, 3, 4 механической характеристики.• 

• 

• 

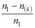
• 


где
– значения частоты вращения ротора в точках 2, 3, 4 механической характеристики.


