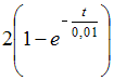
Изображение вопроса При  в цепи с параметрами  после замыкания ключа т...
При Изображение вопроса При  в цепи с параметрами  после замыкания ключа т... в цепи с параметрами Изображение вопроса При  в цепи с параметрами  после замыкания ключа т... после замыкания ключа ток Изображение вопроса При  в цепи с параметрами  после замыкания ключа т... равен _____ А.
• 
• 
• 
• 
Тема: Переходные процессы в цепях постоянного тока с одним накопителем энергии
Предмет: Электротехника и электроника