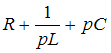
Изображение вопроса После размыкания ключа операторное сопротивление ц...
После размыкания ключа операторное сопротивление цепи Изображение вопроса После размыкания ключа операторное сопротивление ц... равно …
• 
• 
• 
• 
Тема: Переходные процессы в цепях с двумя накопителями энергии
Предмет: Электротехника и электроника