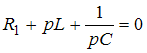
Характеристическое уравнение цепи имеет вид…
Изображение вопроса Характеристическое уравнение цепи имеет вид…...
• 
• 
• 
• 
Тема: Переходные процессы в цепях с двумя накопителями энергии
Предмет: Электротехника и электроника