Электротехника и электроника (Основы теории цепей) – страница 7
Индуктивность – это коэффициент пропорциональности между …
5

Схема соединения двух нелинейных элементов изображена на рис. а, их вольт-амперные характеристики – на рис. б.
При напряжении
ток
равен ___ А.

Схема соединения двух нелинейных элементов изображена на рис. а, их вольт-амперные характеристики – на рис. б.
При напряжении
ток
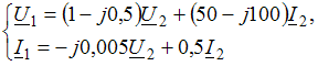
равен ___ А.Входные сопротивления четырехполюсника при холостом ходе и коротком замыкании
связаны между собой соотношением …
связаны между собой соотношением …Заданы комплексные действующие значения напряжения и тока в цепи:

Угол сдвига фаз
между током и напряжением равен …

Угол сдвига фаз
между током и напряжением равен …10 
Если при разомкнутом ключе К вольтметр измерил напряжение
а при замкнутом ключе вольтметр и амперметр измерили
и
, то ЭДС активного двухполюсника
, его внутреннее сопротивление 

Если при разомкнутом ключе К вольтметр измерил напряжение
а при замкнутом ключе вольтметр и амперметр измерили
и
, то ЭДС активного двухполюсника
, его внутреннее сопротивление 
Симметричный четырехполюсник работает в режиме согласованной нагрузки. Если напряжение на входе
постоянная ослабления
то напряжение на выходе
равно ___ В.
постоянная ослабления
то напряжение на выходе
равно ___ В.Основной физической величиной, характеризующей электрическое поле и определяющей силу, действующую со стороны электрического поля на заряженную частицу, является …



, то контурный ток
равен ___ А.

равно ___ Ом.

напряжение
равно ____ В.