Электротехника и электроника (Основы теории цепей) – страница 21
1 
Два нелинейных резистивных элемента с одинаковыми вольт-амперными характеристиками (см. рис.) соединены параллельно. Если напряжение на входе цепи равно
то ток на входе равен ____ А.

Два нелинейных резистивных элемента с одинаковыми вольт-амперными характеристиками (см. рис.) соединены параллельно. Если напряжение на входе цепи равно
то ток на входе равен ____ А.2 
Для расчета токов в ветвях цепи по методу контурных токов необходимо составить ____ уравнения(-ий).

Для расчета токов в ветвях цепи по методу контурных токов необходимо составить ____ уравнения(-ий).
Уравнения
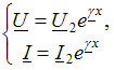
являются уравнениями линии …
являются уравнениями линии …5 
Зависимостью
резистивного элемента с сопротивлением R, увеличивающимся с ростом тока I, является (см. рисунок) вольт-амперная характеристика …

Зависимостью
резистивного элемента с сопротивлением R, увеличивающимся с ростом тока I, является (см. рисунок) вольт-амперная характеристика …8 
На рисунке приведена осциллограмма напряжения и тока пассивного двухполюсника. Если взять начало отсчета времени в т. О2, то начальная фаза
тока равна ____ рад.

На рисунке приведена осциллограмма напряжения и тока пассивного двухполюсника. Если взять начало отсчета времени в т. О2, то начальная фаза
тока равна ____ рад.10 
На рисунке приведена осциллограмма напряжения и тока пассивного двухполюсника. От выбора начала отсчета времени (т. О,
или
) зависит (-ят) …

На рисунке приведена осциллограмма напряжения и тока пассивного двухполюсника. От выбора начала отсчета времени (т. О,
или
) зависит (-ят) …Зависимость
называют ______________ характеристикой.
называют ______________ характеристикой.14 
Два нелинейных резистивных элемента с одинаковыми вольт-амперными характеристиками (см. рис.) соединены последовательно. Если напряжение на входе цепи равно
то ток в цепи равен _____ А.

Два нелинейных резистивных элемента с одинаковыми вольт-амперными характеристиками (см. рис.) соединены последовательно. Если напряжение на входе цепи равно
то ток в цепи равен _____ А.Входные и выходные напряжения и токи четырехполюсника связаны уравнениями

Характеристическое сопротивление
четырехполюсника равно ___ Ом.

Характеристическое сопротивление
четырехполюсника равно ___ Ом.
напряжение на входе
то ток
на входе равен ____ А.
то общее сопротивление
для первого и второго контуров равно ____ Ом.