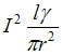
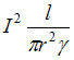
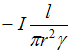
Изображение вопроса Поток вектора Пойнтинга через боковую поверхность ...
Поток вектора Пойнтинга через боковую поверхность круглого провода длиной Изображение вопроса Поток вектора Пойнтинга через боковую поверхность ... с током I равен …
• 
• 
• 
• 
Тема: Стационарные электрические и магнитные поля
Предмет: Электротехника и электроника (Основы теории цепей)