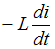
Напряжение Изображение вопроса Напряжение  на индуктивном элементе равно …... на индуктивном элементе равно …
• 
• 
• 
• 
Тема: Элементы электрических цепей
Предмет: Электротехника и электроника (Основы теории цепей)