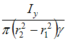
Изображение вопроса На рисунке изображено поперечное сечение коаксиаль...
На рисунке изображено поперечное сечение коаксиального кабеля. На цилиндрической поверхности радиуса r напряженность электрического поля Изображение вопроса На рисунке изображено поперечное сечение коаксиаль... равна …
• 
• 
• 
• 
Тема: Стационарные электрические и магнитные поля
Предмет: Электротехника и электроника (Основы теории цепей)