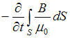
По закону электромагнитной индукции в интегральной форме Изображение вопроса По закону электромагнитной индукции в интегральной... равен …
• 
• 
• 
• 
Тема: Уравнения электромагнитного поля
Предмет: Электротехника и электроника (Основы теории цепей)